
This article is dedicated to full women who love to do with their own hands, do not stop learning and learn new things.
Sewing dresses is a long and laborious process that requires precise knowledge and basic skills of a seamstress. The first very important step is to take measurements. Further success depends on a competent approach to this issue. Next, you need to properly design the pattern ("base" or "base", as it is called) by the taken measurements. And only after that you can proceed directly to sewing. The most difficult stage is the construction of the pattern, so we will dwell on it in more detail.
Ready-made dress patterns for obese women can be downloaded for free in a few minutes on the website of Burda and other equally well-known sources, but we suggest you learn how to cut it yourself, and then please yourself with new clothes. we can say that this article is like a box with precious tips that you managed to find on the Internet.
Patterns for dresses (for obese women)
If you have a basic pattern of a semi-adjacent dress, you can create and sew absolutely everything that you want. Simple configurations with the base will help to sew, connect the outfit itself of any complexity. Even knitting and crocheting becomes much easier. With a description of the pattern and the main pattern, you can create any robe you like in the picture.
Video for beginner needlewomen
Video tutorials for beginners with a detailed description of the whole process.
How to take measurements
https://www.youtube.com/embed/m5sXhoctbqo
Lesson 1
https://www.youtube.com/embed/IvG58CsDqDc
Lesson 2
https://www.youtube.com/embed/ODtM3ba4iw4
Lesson 3
https://www.youtube.com/embed/Ko5RM2IlpIY
Lesson 4
https://www.youtube.com/embed/iZi6jQh68y0
Lesson 5
https://www.youtube.com/embed/OInj2-fFFyM
Lesson 6
https://www.youtube.com/embed/wkrXgz1WMOw
Lesson 7
https://www.youtube.com/embed/xqSSGxHrPbY
Lesson 8
https://www.youtube.com/embed/tyvbZmsehT4
Lesson 9
https://www.youtube.com/embed/4xTmA55NWxo
Lesson 10
https://www.youtube.com/embed/HKUchLNG3HU
Lesson 11
https://www.youtube.com/embed/jOk0stBOipg
Lesson 12
https://www.youtube.com/embed/yiPNI2fKM-A
Step-by-step build instruction (photo)
Sewing on a machine will not take much time if you are armed with a “base”, which we will help you competently compose. We take for example size 54.
Measurement:
- DI - Length of the product. From the seventh cervical vertebra to the desired length (100 cm).
- Gpr - Depth of armhole. From the seventh cervical vertebra to the armpit line (21).
- Dst - The length of the back to the waist. From the seventh vertebra to the waistline (39).
- Cc - The width of the back. Measured horizontally by the shoulder blades, between the upper corners of the armpits (19.5).
- N - Half neck circumference. The centimeter tape should pass along the base of the neck, behind the seventh cervical vertebra, in front of the jugular cavity (indentation) (19).
- Crl - Half chest 1. The horizontal line is behind the protruding points of the shoulder blades, in front of the base of the chest (49).
- Crll - Half chest 2. The line runs along the protruding points of the shoulder blades and chest (54).
- VRV - The size of the undercut solution.The vertical line from the base of the chest to the highest point (12).
- St - Half-waist. The horizontal line at the narrowest point at the waist level (47).
- Sat - Half hips. measured horizontally by the protruding points of the buttocks with a small allowance on the protruding abdomen (60).
- VR - The height of the sprout. Parallel to the spine from the shoulder at the base of the neck to the waist line (41).
- Air force - The height of the shoulder back. Measured along the back from the point of articulation of the arm with the shoulder to the waist (36).
- Spr - The width of the armhole. Measured horizontally at hand: from the place where the arm with the trunk is articulated from the back to the articulation of the arm with the trunk from the front (12, 5).
- Db - Side length. Measured from the back side from the upper edge of the ruler located in the armpit to the waist line (17).
- Dp - The length of the shoulder. It is measured along the shoulder from the neck to the connection of the arm with the body (13).
- Vg - chest height. From the base of the neck to the protruding part of the chest (29.5).
- Runway - The height of the front shoulder. From the point of connection of the arm with the shoulder to the waist (35).
- Dpt - The length of the front to the waist. Measure from the shoulder at the base of the neck to the waistline (44).
- Cg - Measure horizontally between the most prominent points of the chest (11).
- Shp - Measured horizontally above the base of the chest between the corners of the armpits.
- ShpII - The width of the front over the protruding points of the chest (control measure). It is measured horizontally between the angles of the armpits at the most prominent points of the chest (23.5).
- Dr - The length of the sleeve. From the highest point of the shoulder to the desired length (58).
- Drl - The length of the sleeve to the elbow. From the highest point of the shoulder to the elbow (34).
- Ohr - Girth of the hand. Measure the fullest upper arm (34).
- Oz - Wrist girth. Hand girth, taking into account the bone (19).
Allowances: On loose fit to the measure of the second half-circumference of the chest Crg we add 4-5 cm, to the measure of the half-circumference of the hips Sb - 3 cm and to the measure of the half-circumference of the waist St - 2 cm.
Building patterns:
Getting to the construction.
We draw a right angle in the right corner with the vertex at the point R.From point P, we postpone the length of the productDi(100 cm) and set the point N.
From point P, we postpone the depth of the armhole (Gpr= 21 cm) and denote the point G.
From point P, we postpone the length of the back to the waist (Dst = 39 cm) and mark the pointT.
From pointT down usually delayed 18 - 19 cm. We will take the average 18,5 see and put a pointB.
From points G, T, B and H to the left at right angles we draw horizontal lines: the depths of the armhole, waist, hips and bottom.
From the point Г to the left we postpone the width of the backCc (19.5) plus0,5 cm (increase in free fit) and put a pointG1 :
GG1 = Шс + 0.5 = 19.5 + 0.5 = 20 cm.

From pointG1 to the left we postpone half the width of the armhole Shpr (12.5) minus 1 see and mark the pointG2:
G1 G2 = Spdr: 2 - 1 = (12.5: 2) -1 = 5.25 cm.
From point G2 draw a straight line down and at the intersection of it with the waist and hips, put a pointT2 and B1.
From pointR put off to the left 1/3 half neck N (19cm) a plus 1 cm and determine the pointP1:
PP1 = 1/3 N +1 = 19:3+1=7,3cm.

From point P1 up, we postpone the difference between the measures of the height of the sprout VR (41cm)and the length of the back to the waist Dst (39cm) and mark the pointP2:
P1P2 = Bp - Dst = 41 - 39 = 2 cm.
Points R and P2 connect a concave smooth curve. We get the line of the neck of the back (line of the sprout).
From pointT1 upward we postpone the measured measurement of the height of the back of the shoulder Air force (36 cm) and draw a pointP.

From pointG1 set aside 1/3 cut distance G1P and draw t.ABOUT. Compass from the pointABOUT draw left through the pointP an arc.
From point P2 as from the center, with a radius equal to 15 cm (measured shoulder length Dp (13cm) a plus2cm to tuck), draw an arc to the intersection with the previously constructed arc. At the intersection of two arcs, put a pointP1.
R2P1= 13 + 2 = 15cm.
Points R2 andP1 connect.
Connecting the dots P1, O and g2 a smooth curve, as shown in Figure 12, we complete the construction of the armhole of the back.
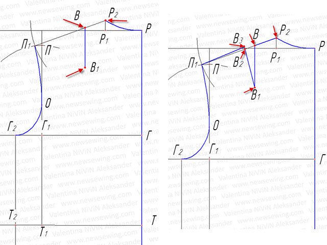
From pointR2 left on the line R2P1 set aside 1/3 of the taken measure of the shoulder length Dp and set T.V;
P2B = 13: 3 = 4.3cm.
From point B down we draw a vertical line of length 8 cm and put the point B1.
From pointAT left along the line P2P1put off 2 cm and put a pointIN 2. From point IN 1 through pointIN 2 draw a line of length 8 cm and put a pointIN 3. Points B3P1 connect with a straight line and get the back shoulder line.

From pointT2 put off to the right 2 cm and put a pointT3. Points T3 and G2 connect.
From pointT3 set aside 1 cm and put a pointT4, points T4 and T connect a smooth curve.
From pointB1 put off to the left1/2 the difference between the measurements of hips C6 with an increase in free fit (60 + 3 = 63 cm) and the second half of the chest CgII with an increase in free fit (54 + 4 = 58cm) and put a pointB2:
B1, B2 = (63-58): 2 = 2.5cm. Points G4 and B2 connect a smooth curve.
From pointN to the left we postpone the value, which is equal to the width of the back along the thigh line (see drawing, this distance BB2) a plus 2-3 cm and put a pointH1. Points H1 and B2 connect a straight line. From point H1 set aside 1cm and put a pointH2. Points H2 and Nconnect a smooth curve.
Distance GG1 divide in half and put a pointG3. From point G3 draw a vertical line down and at the intersection of it with the waist line we put a pointT5, with a line of hips - a pointB3. From pointG3 put it down 4 cm and put a pointAT 4, but from the point B3 up - 3 cm and put a pointB4.
From pointT5 to the right and left on the waist line we postpone 1 cm and put a pointT6 and T7which we connect with points AT 4 and B4.
Backline HH1 continue to the left. From point H1 set aside approximately 45-50 cm and put a pointH3. From t.H3 draw a vertical line up. From points G2, T2, B2to the left we draw horizontal lines to the intersection with the vertical. The points of intersection with the vertical line are denoted respectively G4, T8, B5.
From pointG4 to the right we postpone the taken measure of the half-girth of the chest second CrII with an increase in free fit (54 + 4) minus the width of the back with an increase (according to the drawing GG1 = 20 cm) and minus the width of the armhole (taken measurement 12.5 cm) and draw a pointG5:
G4G5 = 58-20-12.5 = 25.5cm.
Through point G5 draw a vertical line down, at the intersection of which with the waist line we put a point T9.
From pointG5 to the right we postpone half the width of the armholeSpd (12.5) a plus 1 cm and mark the pointG6:
G5G6 = 12.5: 2 + 1 = 7.25cm.
From pointG6 draw a vertical line down and at the intersection of it with horizontal lines put a pointT10 and point B6.
From pointT8 postpone the measured measure of the length of the front to the waist Dpt (44 cm) and denote the pointP3.
From pointP3 draw a horizontal line to the right and put it off 1/3 half neck NW! (19cm) a plus 1 cm and put t.P4:
R3R4= 19: 3 + 1 = 7.3cm.
From pointP3 put it down 1/3 half neck N (19cm) a plus 1.5 cm and put a pointP5:
P3P5 = 19: 3 + 1.5 = 7.8cm.
PointsR4 and P5 we connect the line, divide it in half and the middle denote the pointO1. From pointO1 set aside at a right angle 1.25 cm and denote the point02. Points P5, 02 and P4we connect a smooth curve and get the neckline of the shelf.
From pointG4 to the right we postpone the taken measurement of the center of the chest Tsg (11 cm) and put a pointG7. PointsP4 and G7 connect.
From pointP4 down extending the line R4G7postpone chest height measurement Vg (29.5 cm)and mark the pointTs.
On the same line from the pointTs set aside 2.5 cm and put a pointC 1. At this point, the chest tuck ends.
From pointTs upward we postpone the taken measure of the size of the tuck solution VRV (12 cm) and put a pointU. From pointTs, as from the center, through the pointAt draw an arc to the right.

From pointAt on the conducted arc, we postpone the difference between the measures of the half-girth of the chest of the second CgII (54cm) and chest half first CgI (49cm) and put a pointU1.
YU1 = CrII - CrI = 54 - 49 = 5cm This construction can be done using a compass.
From pointAt, as from the center, radius 5cm draw an arc to the intersection with the previously built arc. Designate the intersection U1.
Through pointC1 and point U1 draw a line, continuing it upward by an amount that is equal to the distance Ts1R4 and put a pointP2:
Ts1P2 = Ts1R4.
On a straight line T9G5extending it up from the pointT9 postpone the measured shoulder height Runway (35 cm) and put the pointsP3.

From pointG5 set aside 1/4 distances G5P3 (4.5 cm) and put a point03. Point 03 —check Point. When bushing a sleeve into an armhole, it connects with a mark on the sleeve to pointsABOUT
From point03 compass through the point P3 draw an arc to the right.
From pointP2, as from the center, with a radius equal to the taken measure of the length of the shoulder Dpl, (in our case 13cm) draw an arc to the intersection with the previously constructed arc and put a pointP4. Points P4, 03 and
G6 we connect a smooth curve, thereby completing the construction of the front armhole.
From pointT10 put off to the left 1.5 cm and put a pointT11. PointG6 and T11 connect the line.
From pointT11 set aside 1 cm and put a pointT12. PointsT8 and T12 connect a smooth curve.

From pointB6 put off to the right 1/2 the difference between the measurements of hips Sat with an increase in free fit (60 + 3 = 63 cm) and the second half of the chest CgII with an increase in free fit (54 + 4 = 58cm) and put a pointB7:
B6 B7 = (63-58): 2 = 2.5cm.
TrchkuT12 and B7 connect a smooth curve.
From pointH3 to the right we postpone a value that is equal to the width of the front along the hips (see drawing, this distance B5B7), a plus 2-3 cm and put a pointH4. Points B7 and N4connect a straight line. From pointH4 set aside 1 cm and put a pointH5.

From pointH3 put it down 2 cm and put a pointH6. PointsN6 andN5 connect a smooth curve.
DistanceG7G5 divide in half and put t.G8. From point G8 draw a vertical line down, and put dots at the intersection with the waist and hipsT13 and B8. From pointG8 put it down 6 cm, and from the pointB8 up - 2 cm and put the dotsB5 and B9.

From pointT13 left and right, put off 1.25 cm and put a pointT14 and T15that we connect with ourB5 and B9.
Construction completed.
Ready-made patterns for different models (styles for full)
If you like to sew and you already have little experience in tailoring, you should remember the main rule of an experienced seamstress: “measure seven times, cut once”. It is very important to pay due attention to calculations, especially when it comes to overweight women.
Evening dress pattern
Sewing blouses, skirts, trousers is a very complicated and long process, but creating a beautiful evening dress requires a little more effort and patience.
Long dresses for the celebration can be made of guipure and chiffon. Ladies of small stature can combine these fabrics and create a vertical openwork line in front, which will visually make taller and slimmer.
Pattern of a simple summer dress for obese girls
For the summer, simple low-waist models that are created with one seam are ideal. Free in the floor of fashionable chintz flowers is the trend of 2024, and I want to present you a stylish beautiful dress for sunny days.
For knitwear model
For winter, you can choose models of wool and combination yarn. The fall-winter season is a large number of simple models that can easily be passed off as home attire.
New in 2024 - universal “case”
We sew the outfit from black fabric (or in a cage) of a direct silhouette with a detachable sleeve (can be converted to raglan), which is ideal for a young and old lady.
Option 1
Draped sundress
You can quickly and easily sew a sundress with clutches (but if you have little fabric, you can stop on the trapezoid style), which will look good on a lady with a stomach.
To do this, you just need to sew a beautiful bodice and arm yourself with a huge piece of fabric that you beautifully compose. You will get a sundress with a high waist, which will beautifully hide all the flaws of the figure.














































[...] For more details on how to sew an outfit for obese women, see our article “Patterns of beautiful dresses for obese women”. [...]